Open Access

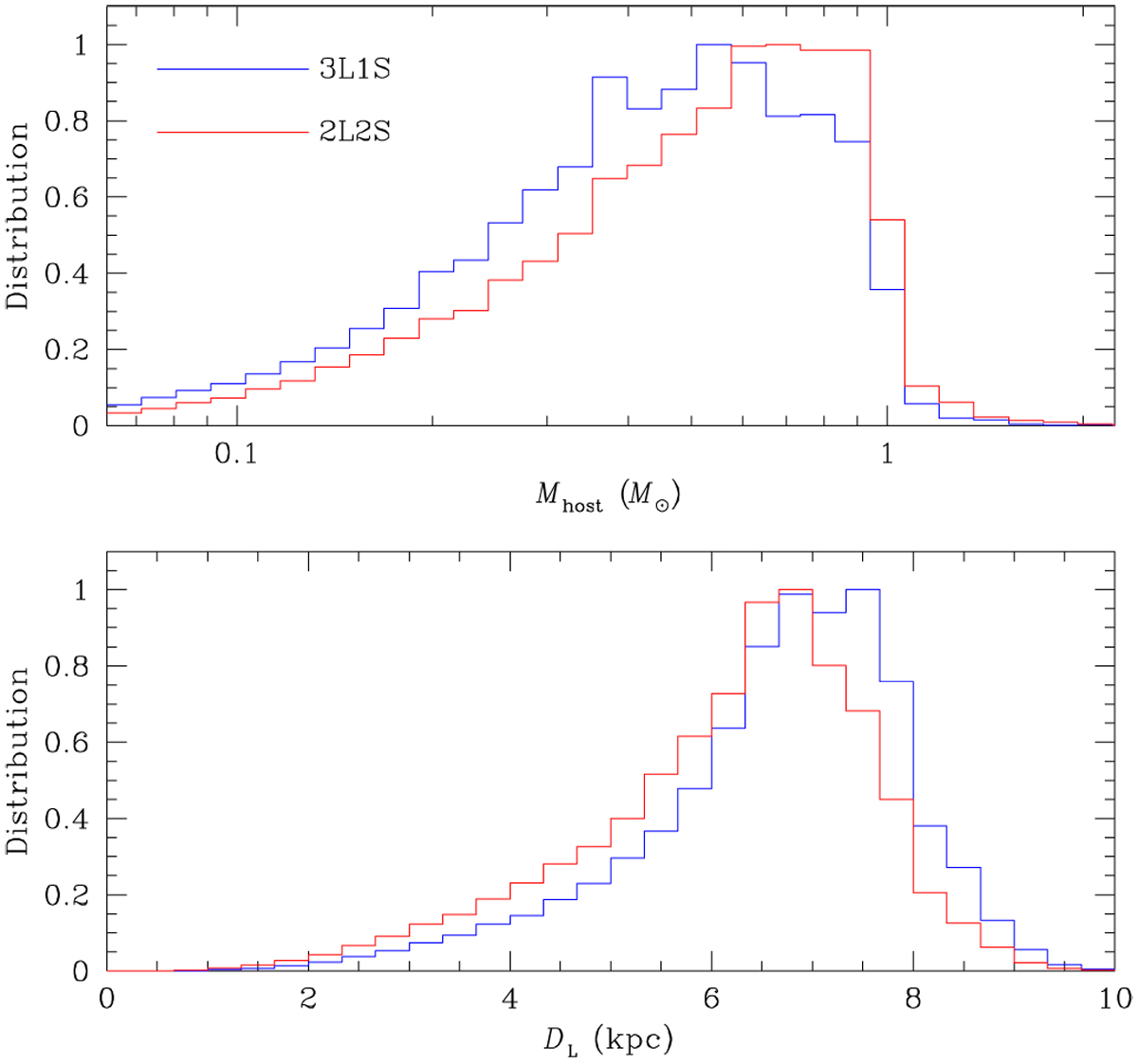
Fig. 8

image

Download original image

Bayesian posteriors of the host mass and the distance to the planetary system. The curves drawn in blue and red represent the distributions estimated from the 3L1S and 2L2S solutions, respectively.

Current usage metrics show cumulative count of Article Views (full-text article views including HTML views, PDF and ePub downloads, according to the available data) and Abstracts Views on Vision4Press platform.

Data correspond to usage on the plateform after 2015. The current usage metrics is available 48-96 hours after online publication and is updated daily on week days.

Initial download of the metrics may take a while.