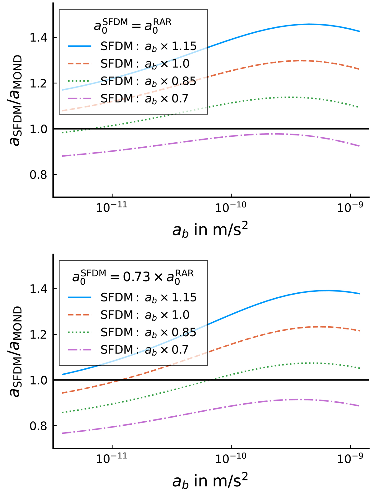
Fig. B.1.

Download original image
Ratio of the accelerations aSFDM = ab νθ(ab/a0) and aMOND = ab νe(ab/a0) as a function of ab. Top: With aSFDM and aMOND both using the same value for a0, namely a0 = 1.2 ⋅ 10−10 m/s2, but with aSFDM using a baryonic acceleration ab that is multiplied by an overall factor relative to ab in aMOND. Bottom: Same as top, but now aSFDM and aMOND use different values for a0, namely and
, respectively.
Current usage metrics show cumulative count of Article Views (full-text article views including HTML views, PDF and ePub downloads, according to the available data) and Abstracts Views on Vision4Press platform.
Data correspond to usage on the plateform after 2015. The current usage metrics is available 48-96 hours after online publication and is updated daily on week days.
Initial download of the metrics may take a while.