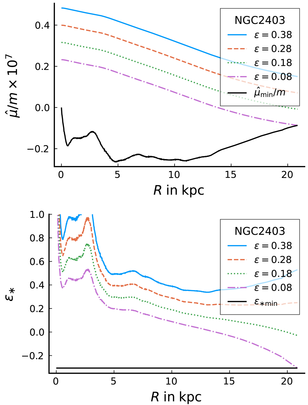
Fig. D.13.

Download original image
Solutions for and ε* for various boundary conditions, ε, for the galaxy NGC 2403 assuming the best-fit Q* for SFDM. Top: Quantity
at z = 0. The solid black line shows the minimum possible value of
allowed by the condition ρSF > 0 at each radius. The smallest boundary condition, ε = 0.08, corresponds to the minimum possible dark matter mass for the given baryonic mass distribution. Smaller masses would require that the condition ρSF > 0 is violated before R = Rmax. Bottom: Same as the top panel but showing ε* instead of
. The minimum possible ε* allowed by ρSF > 0 is a constant.
Current usage metrics show cumulative count of Article Views (full-text article views including HTML views, PDF and ePub downloads, according to the available data) and Abstracts Views on Vision4Press platform.
Data correspond to usage on the plateform after 2015. The current usage metrics is available 48-96 hours after online publication and is updated daily on week days.
Initial download of the metrics may take a while.