Fig. 7.

Download original image
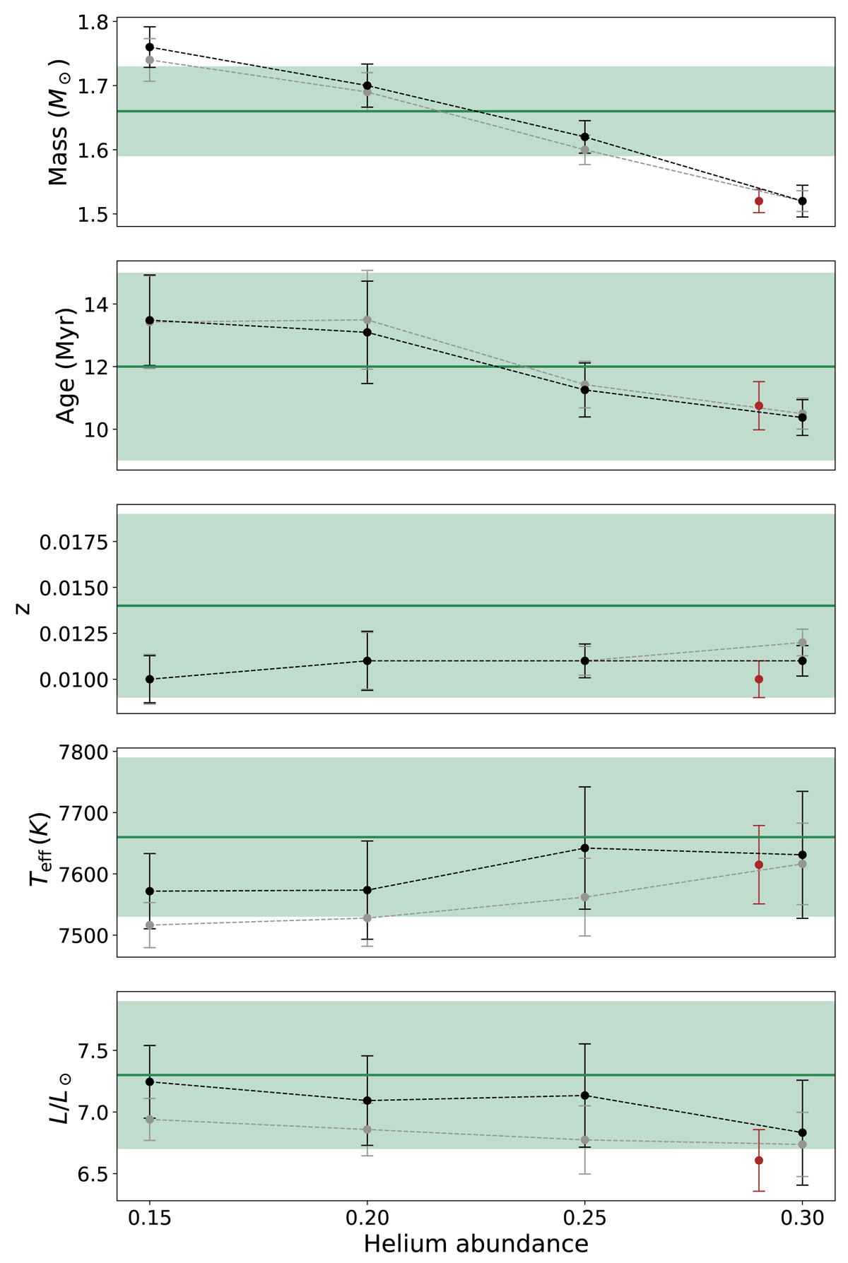
Dependence of stellar parameters of HD 139614 on the choice of initial helium abundance. The black points show the resulting parameters for different values of initial helium abundance when we used the surface gravity as a second classical constraint. The grey counterpart corresponds to the luminosity as second classical constraint. Error bars give the resulting standard deviation. The green area shows our model result, where we adopted the values from approach 5 and the red symbols correspond to the result of Murphy et al. (2021).
Current usage metrics show cumulative count of Article Views (full-text article views including HTML views, PDF and ePub downloads, according to the available data) and Abstracts Views on Vision4Press platform.
Data correspond to usage on the plateform after 2015. The current usage metrics is available 48-96 hours after online publication and is updated daily on week days.
Initial download of the metrics may take a while.