Fig.1

Download original image
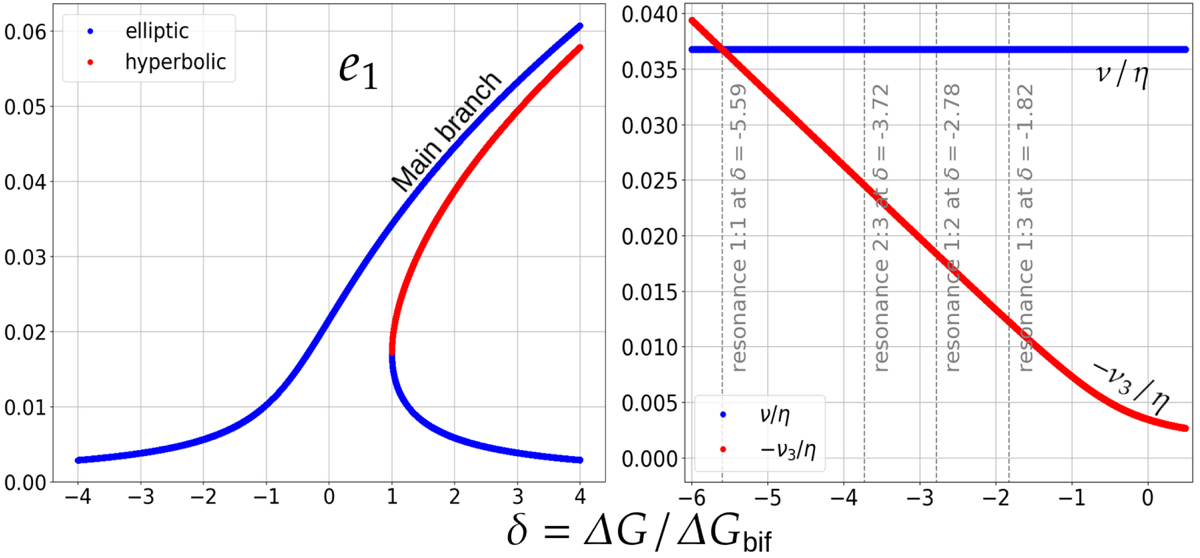
Values of the eccentricities and fundamental frequencies given by the analytical results. Left: value of e1 at the fixed points of the resonance chain 1:1:2 as predicted by Eq. (35). Right: values of ν/η and ν3/η along the main branch as a function of δ, for the same resonance chain, predicted by Eqs. (42) and (33). In both panels the planetary masses are (m1 + m2) /2 = m3 = 10−4 m0 and m2/m1 = 10. According to Eq. (32), e1 = e2, and for this choice of masses and resonance chain e3/e1 = 0.5471. In Table 1, which gathers the fixed points at second order in eccentricity, the three branches visible in the left plot are branches 1 (main branch), 2, and 6. The secular resonances between ν and ν3 are shown on the right, and are also easy to spot in Fig. 6.
Current usage metrics show cumulative count of Article Views (full-text article views including HTML views, PDF and ePub downloads, according to the available data) and Abstracts Views on Vision4Press platform.
Data correspond to usage on the plateform after 2015. The current usage metrics is available 48-96 hours after online publication and is updated daily on week days.
Initial download of the metrics may take a while.