Fig. 4

Download original image
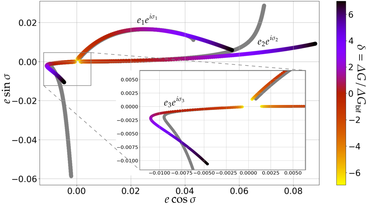
Position of branch 1 of elliptic libration centres of the complete Hamiltonian (3) in the resonance 1:1:2 for −7 ≤ δ ≤ 7. The planetary masses are the same as in Table 1. As a comparison, branch 1 of equilibria of the simplified Hamiltonian (25) is plotted in grey for the same range in δ. For small enough values of δ the eccentricity is not too high and the agreement is good. The simplified and the complete Hamiltonian diverge when δ → +∞.
Current usage metrics show cumulative count of Article Views (full-text article views including HTML views, PDF and ePub downloads, according to the available data) and Abstracts Views on Vision4Press platform.
Data correspond to usage on the plateform after 2015. The current usage metrics is available 48-96 hours after online publication and is updated daily on week days.
Initial download of the metrics may take a while.