Fig. 7

Download original image
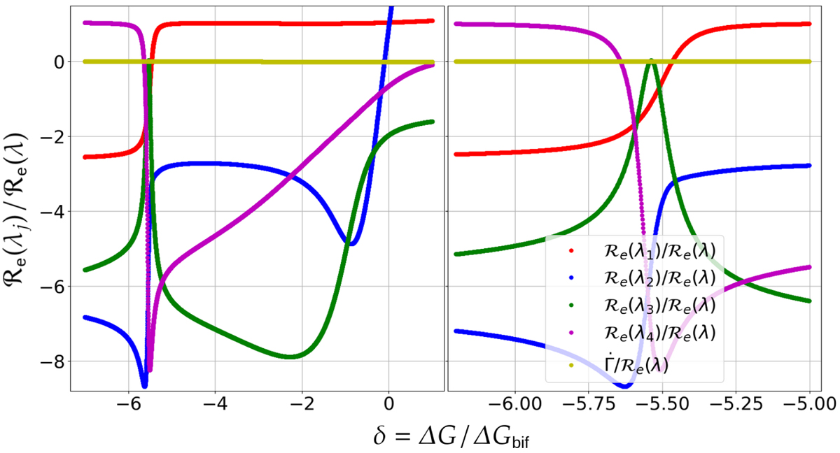
Real parts of the eigenvalues of the linearised system associated with F in the vicinity of its main branch of pseudo equilibria, for −7 ≤ δ ≤ 1 (left) and −6.2 ≤ δ ≤ −5 (right). The planetary masses are as in Table 1 and the resonance chain is 1:1:2. Only the four eigenvalues associated with the four degrees of freedom of the conservative system are represented. The other eigenvalues (like those associated with the rotation rates ωj) are of no interest. The real parts behave erratically at the 1:1 secular resonance between ν and ν3 (see Fig. 1) in such a way that all of them are negative for −5.64 ≤ δ ≤ −5.47, yielding a linear stability in this region. For δ ≤ −0.104, at least three out of four real parts are negative. In the region δ ≤ 1 we have , and the criterion (58) is very well respected. Similar figures with other planetary masses are available in Appendix F.
Current usage metrics show cumulative count of Article Views (full-text article views including HTML views, PDF and ePub downloads, according to the available data) and Abstracts Views on Vision4Press platform.
Data correspond to usage on the plateform after 2015. The current usage metrics is available 48-96 hours after online publication and is updated daily on week days.
Initial download of the metrics may take a while.