Open Access
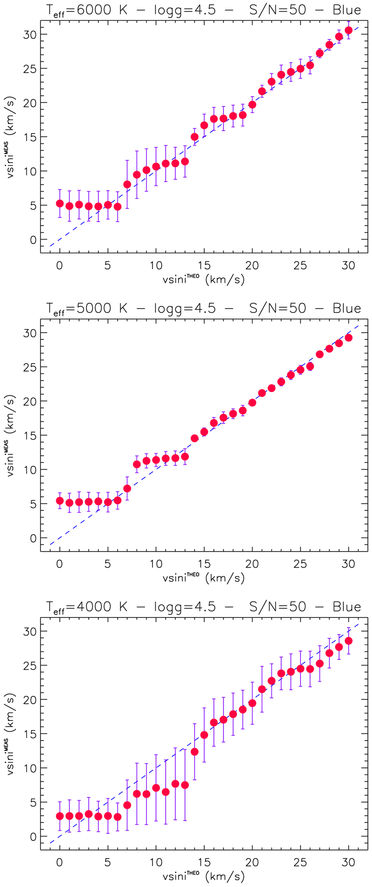
Figure A.2

Download original image
Results of the Monte Carlo simulations on v sin i for blue-arm LAMOST MRS. The Teff, log g, and S/N are indicated in the top title of each box. The meaning of the symbols is the same as in Fig. A.1.
Current usage metrics show cumulative count of Article Views (full-text article views including HTML views, PDF and ePub downloads, according to the available data) and Abstracts Views on Vision4Press platform.
Data correspond to usage on the plateform after 2015. The current usage metrics is available 48-96 hours after online publication and is updated daily on week days.
Initial download of the metrics may take a while.