Fig. 8

Download original image
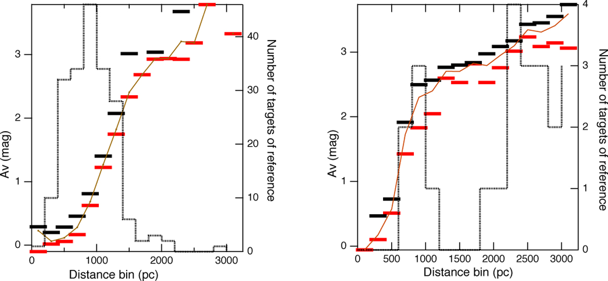
Illustration of the correction. Left: initial extinction of all targets from the photometric catalogue within 0.5° of the direction (l,b) = (60.7°, +0.2°). Data are averaged into 200 pc distance bins and separated into two groups according to the sign of the computed correction to be applied. Red shows an upward correction (extinction increase), and black shows a downward correction. The thin black line indicates the average for all data. Black (red) points lie below (above) the average value, showing that the corrections we applied reduce the scatter. The histogram represents the number of spectroscopic extinctions in the same region of the sky and their distribution in the same distance bins. Right: same as left for the direction (l,b) = (76°, −2°). Significant corrections are visible in regions that are devoid of reference targets (below 600pc and between 1200 and 1800 pc.)
Current usage metrics show cumulative count of Article Views (full-text article views including HTML views, PDF and ePub downloads, according to the available data) and Abstracts Views on Vision4Press platform.
Data correspond to usage on the plateform after 2015. The current usage metrics is available 48-96 hours after online publication and is updated daily on week days.
Initial download of the metrics may take a while.