Fig. 16

Download original image
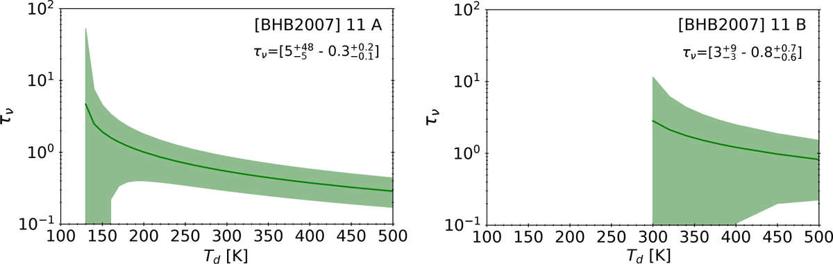
Dust optical depth, τv, at 225 GHz as function of the dust temperature, Td, derived from the observations of Alves et al. (2019) and following the method described in Bouvier et al. (2021). The lines show τv as derived from Eq. (7). The errors are calculated using the error propagation method described in Appendix C.2. of Bouvier et al. (2021) and include the calibration uncertainty of 15% (Alves et al. 2019) and the source size uncertainty. The left and right panels refer to 11A and 11B, respectively.
Current usage metrics show cumulative count of Article Views (full-text article views including HTML views, PDF and ePub downloads, according to the available data) and Abstracts Views on Vision4Press platform.
Data correspond to usage on the plateform after 2015. The current usage metrics is available 48-96 hours after online publication and is updated daily on week days.
Initial download of the metrics may take a while.