Open Access
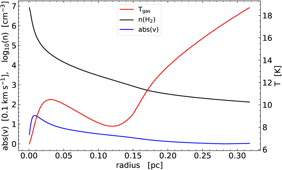
Fig. 3

Download original image
Profiles of the gas temperature (red), H2 number density (black, in logarithmic scale), and infall velocity (blue, in units of 0.1 km s−1) for the L1544 model developed by Keto et al. (2015). The velocity in the model is negative, but here it is shown as positive for better readability.
Current usage metrics show cumulative count of Article Views (full-text article views including HTML views, PDF and ePub downloads, according to the available data) and Abstracts Views on Vision4Press platform.
Data correspond to usage on the plateform after 2015. The current usage metrics is available 48-96 hours after online publication and is updated daily on week days.
Initial download of the metrics may take a while.