Open Access
Fig. 4

Download original image
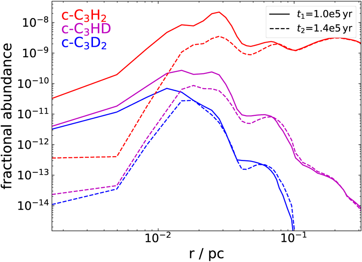
Total molecular fractional abundance profiles with respect to H2 used to obtain the MOLLIE best-fit solutions. c-C3H2 (red, c-C3HD (pink) and c-C3D2 (blue) are plotted at two different time steps of the chemical model, t1 = 1.0 × 105 yr (solid lines) and t2 = 1.4 × 105 yr (dashed lines).
Current usage metrics show cumulative count of Article Views (full-text article views including HTML views, PDF and ePub downloads, according to the available data) and Abstracts Views on Vision4Press platform.
Data correspond to usage on the plateform after 2015. The current usage metrics is available 48-96 hours after online publication and is updated daily on week days.
Initial download of the metrics may take a while.