Open Access
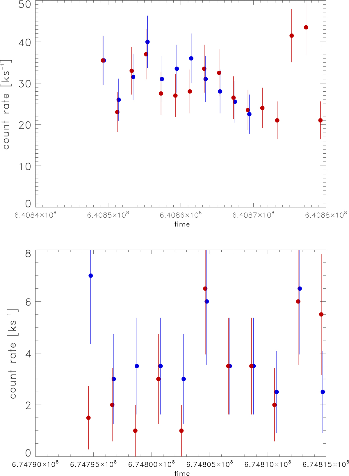
Fig. B.1.

Download original image
Light curves of XMMUJ2116.2-0311 from the two XMM-Newton observations in 2018 (top) and 2019 (bottom) recorded by the MOS 1 (blue) and MOS 2 (red) detectors. The count rates are for the 0.5 to 2 keV energy band. The bin size is 2000 s. The data points for MOS 2 are slightly displaced for better visibility.
Current usage metrics show cumulative count of Article Views (full-text article views including HTML views, PDF and ePub downloads, according to the available data) and Abstracts Views on Vision4Press platform.
Data correspond to usage on the plateform after 2015. The current usage metrics is available 48-96 hours after online publication and is updated daily on week days.
Initial download of the metrics may take a while.