Fig. 1.

Download original image
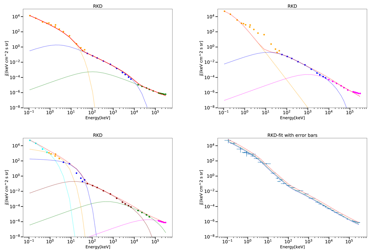
Upper left panel: fit with three RKD distribution functions for the period 2009–2012. The yellow dotted line is the fit to the yellow data points, the blue dotted line the fit to the blue marked data points, and the green dotted line the fit to green data points. The red line is the sum of the total distribution . Upper right panel: fit with three RKD distribution functions for the period 2013 to 2016. As one can see, this fit is not good. Lower left panel: adaption to the data of period 2013–2016 with six RKDs. Lower right panel: number densities resulting from the ‘fit’ and after multiplication by a factor of 0.6 (green dots) and a factor of 0.5 (blue dots), which improves the total distribution function. The curves for the factors of 0.5 and 0.6 are almost identical. Also, the error bars for the data are shown (see text for more detail).
Current usage metrics show cumulative count of Article Views (full-text article views including HTML views, PDF and ePub downloads, according to the available data) and Abstracts Views on Vision4Press platform.
Data correspond to usage on the plateform after 2015. The current usage metrics is available 48-96 hours after online publication and is updated daily on week days.
Initial download of the metrics may take a while.