Open Access

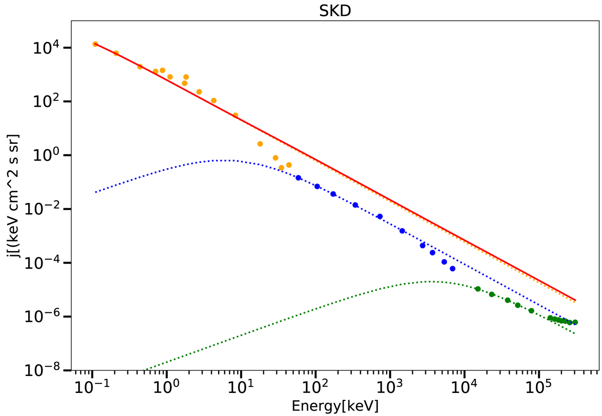
Fig. 2.

image

Download original image

Fit with three SDK distribution functions. Same structure as in Fig. 1. The red line is the sum of all the fitted distributions, which is nearly identically to the yellow line (covered by the red). See the text for further detail.

Current usage metrics show cumulative count of Article Views (full-text article views including HTML views, PDF and ePub downloads, according to the available data) and Abstracts Views on Vision4Press platform.

Data correspond to usage on the plateform after 2015. The current usage metrics is available 48-96 hours after online publication and is updated daily on week days.

Initial download of the metrics may take a while.