Fig. 8

Download original image
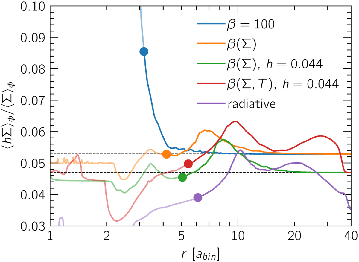
Comparison of azimuthally averaged, density-weighted aspect ratio profiles of the fiducial model with β = 100 and h = 0.05 (blue) against, density-dependent. β(Σ) for h = 0.05 (orange) and h = 0.044 (green), adaptive β(Σ, T) according to Eq. (8) (red), and radiative models (purple) after 50 000 Tbin for = ebin.= 0 Horizontal dashed lines denote the equilibrium state for β models where shock f eating would be absent Coloured dote mark. the respective acav.
Current usage metrics show cumulative count of Article Views (full-text article views including HTML views, PDF and ePub downloads, according to the available data) and Abstracts Views on Vision4Press platform.
Data correspond to usage on the plateform after 2015. The current usage metrics is available 48-96 hours after online publication and is updated daily on week days.
Initial download of the metrics may take a while.