Fig. 3.

Download original image
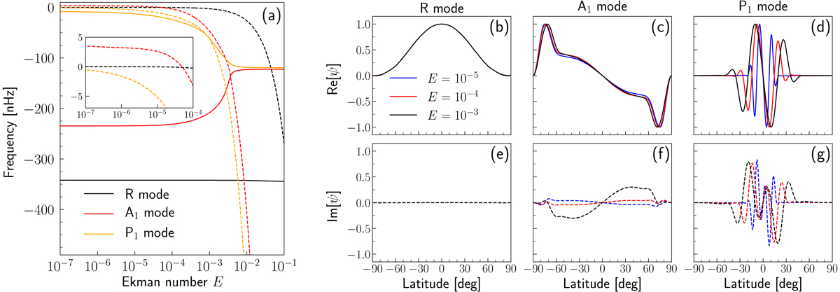
Influence of the viscosity on the eigenvalues and eigenfunctions of the R, A1, and P1 modes. (a): real (solid curves) and imaginary (dashed curves) parts of the frequencies of the modes R, A1, and P1 for m = 2 as a function of the Ekman number in the case of the observed solar surface rotation profile. Panels b–g: real (top panels) and imaginary (bottom panels) parts of the stream functions for the same modes at three selected values for the Ekman number. See also the top panels of Fig. C.3 for a 2D representation of the stream functions for these modes.
Current usage metrics show cumulative count of Article Views (full-text article views including HTML views, PDF and ePub downloads, according to the available data) and Abstracts Views on Vision4Press platform.
Data correspond to usage on the plateform after 2015. The current usage metrics is available 48-96 hours after online publication and is updated daily on week days.
Initial download of the metrics may take a while.