Fig. 1.

Download original image
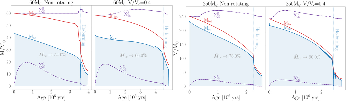
Evolution as a function of the stellar age in million years of the total mass (Mtot, continuous red curve), of the convective core mass (Mcc, continuous blue curve) in solar mass units, of the central (, dashed purple line), and surface 26Al abundance (
, dash-dotted purple line) in mass fractions for a non-rotating and a rotating stellar model at a metallicity Z = 0.014. The initial rotation of the rotating models is 40% of the critical velocity at the ZAMS. For clarity, the curves showing the 26Al mass fraction are multiplied by factors equal to 7.0 × 105 and 106 for the central and surface values, respectively. The curve for the surface value is shifted so that its starting point at an age equal to 0 is 60 and 250 in the left and right panels, respectively. The time-averaged convective core mass fraction during the MS phase is indicated. The vertical light blue line indicates the end of the core H-burning phase and the beginning of the core He-burning phase.
Current usage metrics show cumulative count of Article Views (full-text article views including HTML views, PDF and ePub downloads, according to the available data) and Abstracts Views on Vision4Press platform.
Data correspond to usage on the plateform after 2015. The current usage metrics is available 48-96 hours after online publication and is updated daily on week days.
Initial download of the metrics may take a while.