Open Access

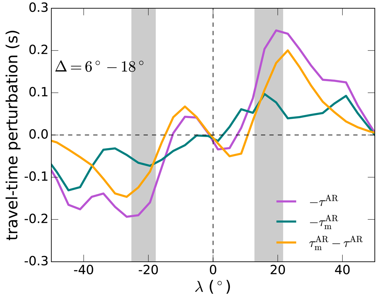
Fig. 6.

image

Download original image

Longitudinally averaged forward travel-time perturbations, farther averaged over the separation distances 6°–18° and over the time period from January 2011 to December 2014, as a function of latitude. They have been binned every 3.6° in latitude. The typical standard error of the mean, computed in each binning interval, is about 0.003 s, and is not shown here. The vertical gray shaded areas show the mean active latitudes.

Current usage metrics show cumulative count of Article Views (full-text article views including HTML views, PDF and ePub downloads, according to the available data) and Abstracts Views on Vision4Press platform.

Data correspond to usage on the plateform after 2015. The current usage metrics is available 48-96 hours after online publication and is updated daily on week days.

Initial download of the metrics may take a while.