Fig. 9

Download original image
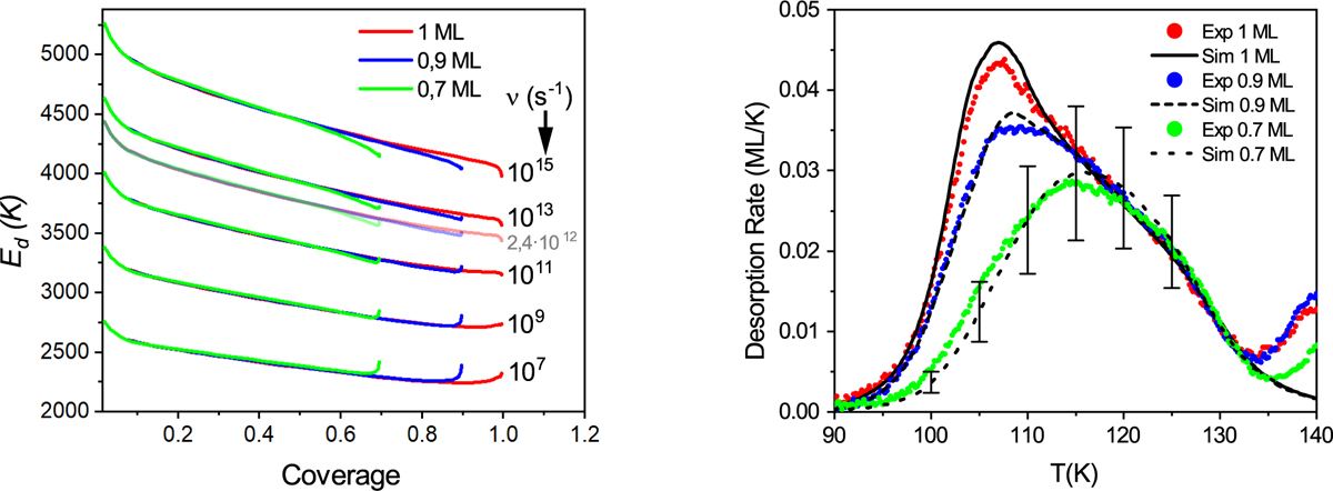
Binding energies distribution and desorption rates. Left panel: distribution of energies obtained for the pre-exponential factors indicated in the legend. The three different colours (green, blue, and red) in each curve correspond to 0.7, 0.9, and 1 ML coverages. Right panel: experimental (solid lines) and simulated (dashed lines) desorption rates obtained with the Ed(θ) distribution corresponding to (vtheo = 2.4 × 1012 s–1).
Current usage metrics show cumulative count of Article Views (full-text article views including HTML views, PDF and ePub downloads, according to the available data) and Abstracts Views on Vision4Press platform.
Data correspond to usage on the plateform after 2015. The current usage metrics is available 48-96 hours after online publication and is updated daily on week days.
Initial download of the metrics may take a while.