Open Access

Fig. 11.

image

Download original image

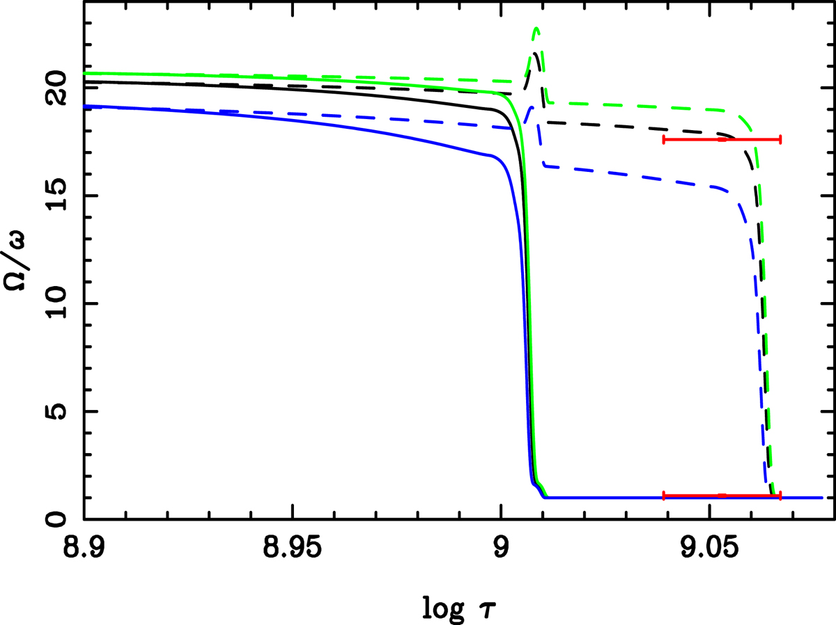
Effects on the levels of synchronism of TZ For due to uncertainties in the friction time scale tF. The black line represents the evolution of angular velocities as shown in Fig. 5, while the green line denotes the case of [1.5 × tF] and the blue one illustrates the case of [0.5 × tF]. The continuous lines denote the primary component and the dashed ones the secondary. The error bars are represented in red. Same initial conditions as in Fig. 2.

Current usage metrics show cumulative count of Article Views (full-text article views including HTML views, PDF and ePub downloads, according to the available data) and Abstracts Views on Vision4Press platform.

Data correspond to usage on the plateform after 2015. The current usage metrics is available 48-96 hours after online publication and is updated daily on week days.

Initial download of the metrics may take a while.