Open Access

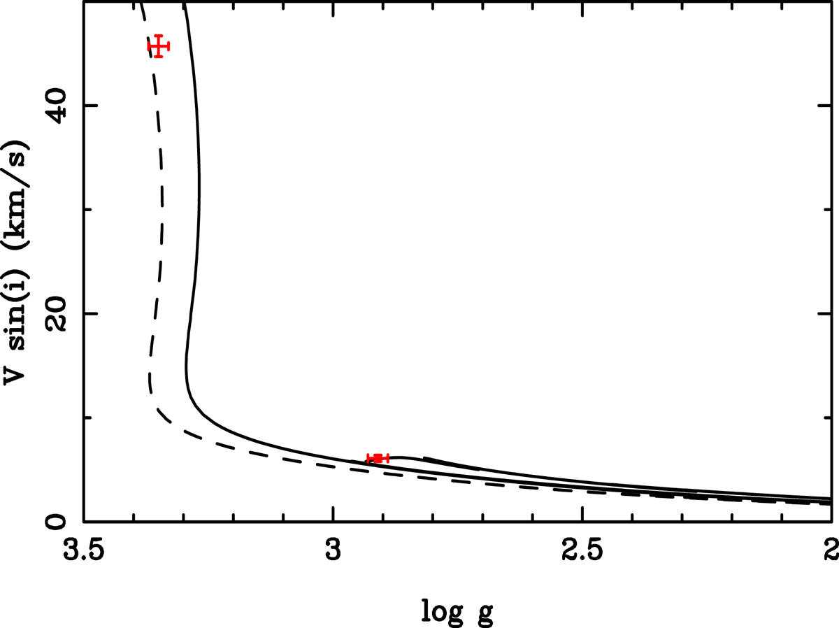
Fig. 12.

image

Download original image

Rotational velocities for TZ For for the case of solid body rotation. Continuous line represents the primary and the dashed one denotes the secondary. The calculations were performed following a revised version of GRANADA code by Claret (1999). The derived mean age of the system is 1.23 ± 0.05 Gyr.

Current usage metrics show cumulative count of Article Views (full-text article views including HTML views, PDF and ePub downloads, according to the available data) and Abstracts Views on Vision4Press platform.

Data correspond to usage on the plateform after 2015. The current usage metrics is available 48-96 hours after online publication and is updated daily on week days.

Initial download of the metrics may take a while.