Open Access

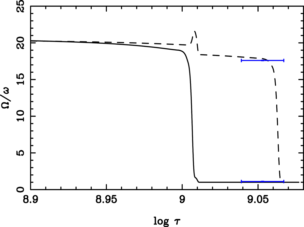
Fig. 5.

image

Download original image

Evolution of the levels of synchronism as a function of time. The angular velocities of the two components were normalized to the mean angular orbital velocity. The continuous line represents the primary and the dashed one denotes the secondary. Same details as in Fig. 2.

Current usage metrics show cumulative count of Article Views (full-text article views including HTML views, PDF and ePub downloads, according to the available data) and Abstracts Views on Vision4Press platform.

Data correspond to usage on the plateform after 2015. The current usage metrics is available 48-96 hours after online publication and is updated daily on week days.

Initial download of the metrics may take a while.