Fig. 3

Download original image
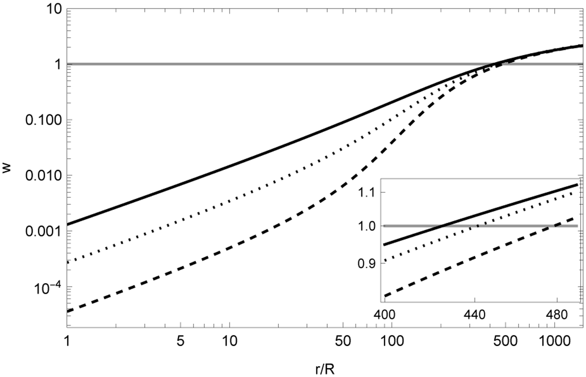
Dimensionless velocity profile (w) for the case without line force (η = 0). The black solid line corresponds to α = 1, the black dotted line is α = 0.1, and the black dashed line is α = 0.01. The inset shows a zoomed-in image of the region around the sonic point. The light gray horizontal solid line represents the sound speed value (w = 1). The stellar parameters are given at the beginning of Sect. 5.
Current usage metrics show cumulative count of Article Views (full-text article views including HTML views, PDF and ePub downloads, according to the available data) and Abstracts Views on Vision4Press platform.
Data correspond to usage on the plateform after 2015. The current usage metrics is available 48-96 hours after online publication and is updated daily on week days.
Initial download of the metrics may take a while.