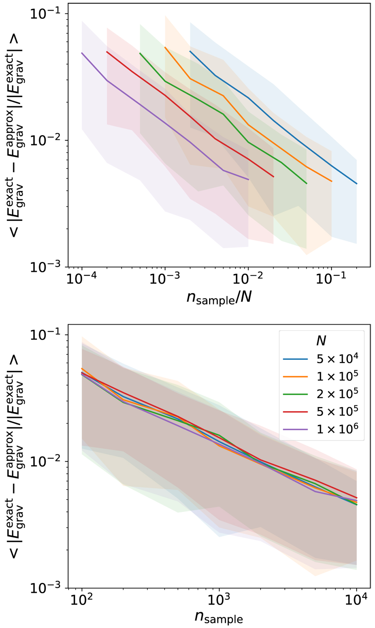
Fig. B.1

Download original image
Dependence of the error in obtaining the gravitational binding energy by sampling, rather than by direct summation over all the pairs of particles, with the fraction nsample/N (upper panel) and with just the number of sample particles nsample (lower panel). The number of evaluated pairs of particles is . Different colours, according to the legend in the lower panel, represent different number of particles within the halo. The shadowed regions correspond to (16 – 84)% confidence regions.
Current usage metrics show cumulative count of Article Views (full-text article views including HTML views, PDF and ePub downloads, according to the available data) and Abstracts Views on Vision4Press platform.
Data correspond to usage on the plateform after 2015. The current usage metrics is available 48-96 hours after online publication and is updated daily on week days.
Initial download of the metrics may take a while.