Fig. 3

Download original image
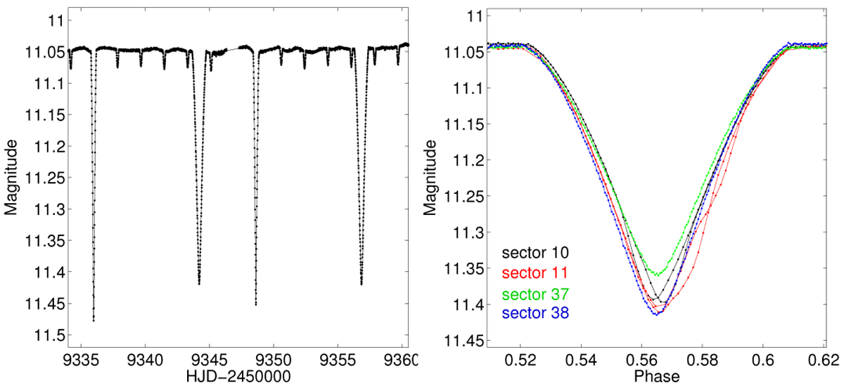
Sample light curve of V0384 Cen from the TESS data. Left panel: data from sector 38 with eclipses of both pairs in time. Right panel: only the phased part of the curve near the primary eclipses of pair A, showing how pair B distorts the shape of the eclipse in different sectors of the data. Moreover, the depth of the eclipse is also obviously different in different sectors. This can be caused by two different phenomena. Firstly, the apsidal motion and change of omega on the eccentric orbit, and secondly an artifact from the TESS reduction causing different third light values in the different sectors of data.
Current usage metrics show cumulative count of Article Views (full-text article views including HTML views, PDF and ePub downloads, according to the available data) and Abstracts Views on Vision4Press platform.
Data correspond to usage on the plateform after 2015. The current usage metrics is available 48-96 hours after online publication and is updated daily on week days.
Initial download of the metrics may take a while.