Fig. 5.

Download original image
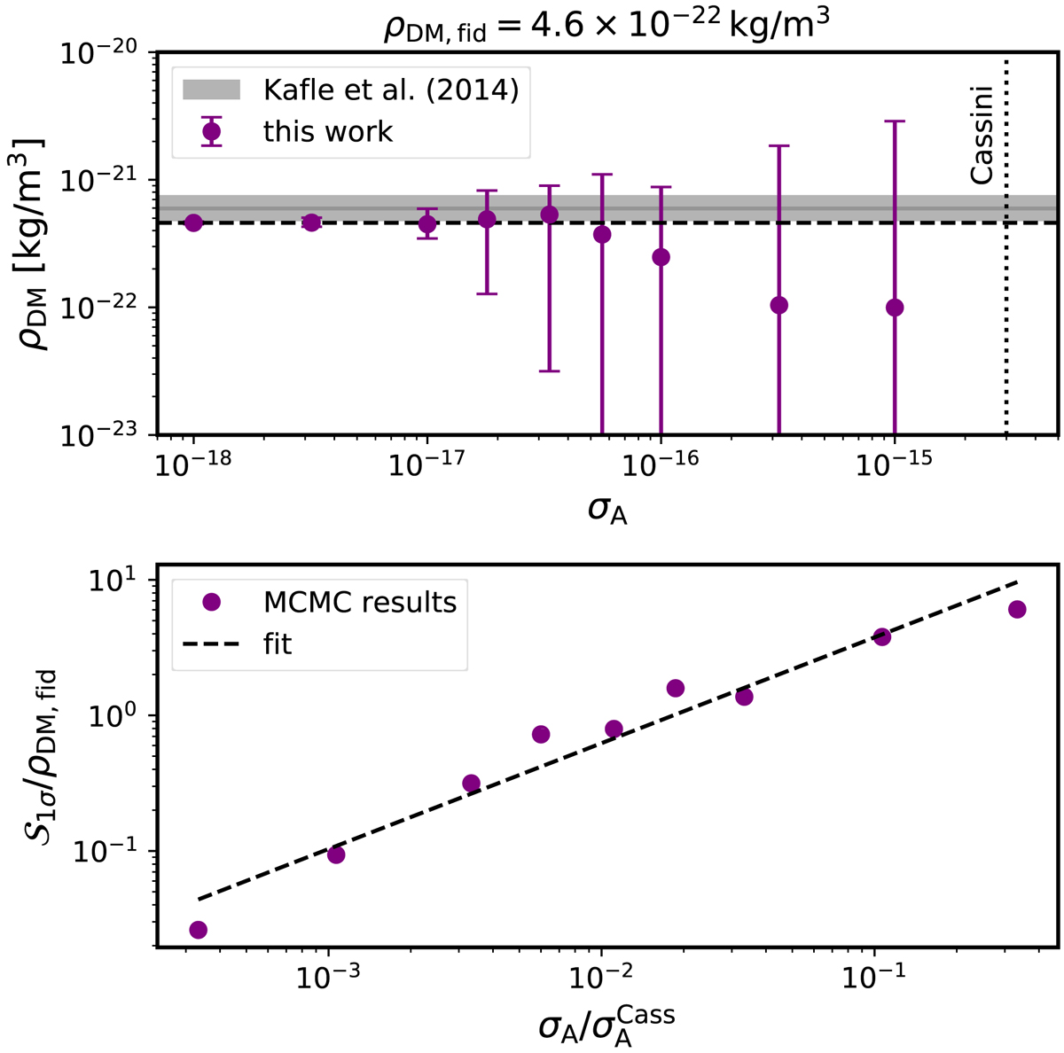
MCMC results for the expected galactic density. Top panel: constraints for local dark matter density as a function of Allan deviation. The dots signify the most probable value of the posterior distribution, while the errorbars show the 1σ uncertainty contours. Note how the upper and lower contours become symmetric with improving Allan deviation. We also show current galactic-based constraints given in Kafle et al. (2014) as a black dot for reference. Bottom panel: power-law fit of the relative 1σ upper bound uncertainty. The best fit parameters for the form are A = 22.7 and n = 0.78 (with a fit goodness of 0.90), which we round to 23 and 0.8 respectively.
Current usage metrics show cumulative count of Article Views (full-text article views including HTML views, PDF and ePub downloads, according to the available data) and Abstracts Views on Vision4Press platform.
Data correspond to usage on the plateform after 2015. The current usage metrics is available 48-96 hours after online publication and is updated daily on week days.
Initial download of the metrics may take a while.