Fig. 7.

Download original image
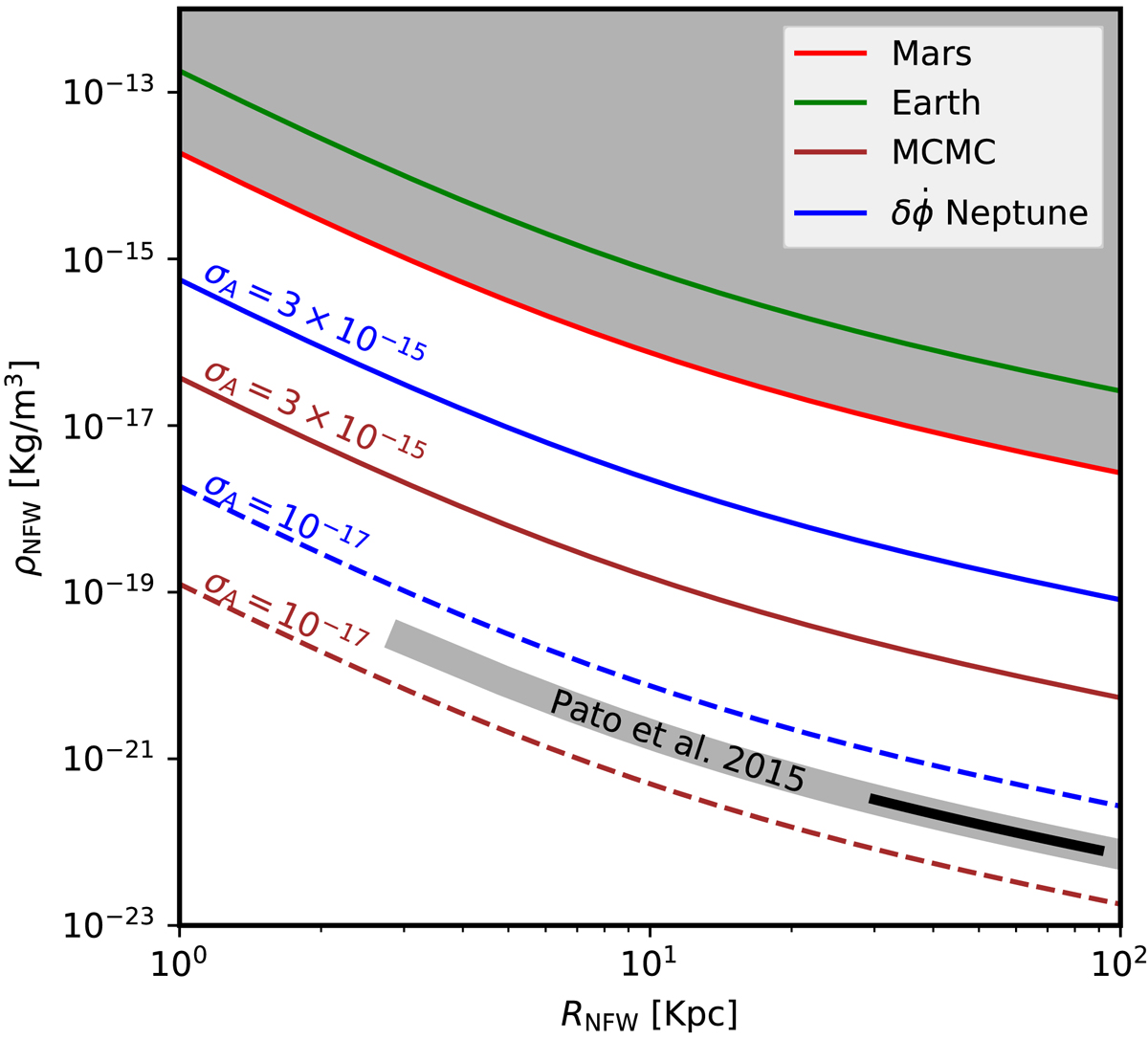
2σ constraints that can be placed by a prospective ice giant mission, on the two NFW profile free parameters (see Eq. (18)). The grey area above the green and red line corresponds to the parameter space that is currently ruled out by local observations of the Earth’s (green) and Mars’ (red) orbital precession. The solid blue and brown lines denote the constrains that can be placed by a future mission to the ice giants without any improvement from Cassini-era Allan deviation, by using either the orbital reconstruction method (brown) or extra precession measurements (blue). The dashed lines denote the constraints that would be achievable with a target Allan deviation of σA = 10−17, which would be competitive with current galactic based constraints (e.g., Pato et al. 2015, shown in the plot at 1σ in black and 2σ in grey).
Current usage metrics show cumulative count of Article Views (full-text article views including HTML views, PDF and ePub downloads, according to the available data) and Abstracts Views on Vision4Press platform.
Data correspond to usage on the plateform after 2015. The current usage metrics is available 48-96 hours after online publication and is updated daily on week days.
Initial download of the metrics may take a while.