Fig. 8.

Download original image
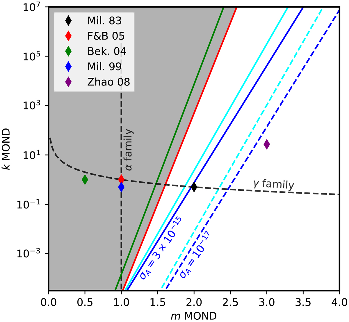
2σ constraints that can be placed by a prospective ice giant mission on the MOND interpolating function. The grey area above to the left of the green and red line corresponds to the parameter space that is currently ruled out by local observations of the Earth’s (green) and Mars’ (red) orbital precession. The solid blue and cyan lines denote the constrains that can be placed by a future mission to the Neptune and Uranus respectively, without any improvement from Cassini-era Allan deviations. The dashed lines denote the constraints that would be achievable with a target Allan deviation of σA = 10−17. Only a moderate improvement in Allan deviation is required to rule out Milgrom’s original interpolating function with solar system based observations. The coloured diamonds stand for several other proposed intorpolating functions (Milgrom 1983, 1999; Bekenstein 2004; Zhao 2008). The α and γ family lines are taken from Famaey & McGaugh (2012).
Current usage metrics show cumulative count of Article Views (full-text article views including HTML views, PDF and ePub downloads, according to the available data) and Abstracts Views on Vision4Press platform.
Data correspond to usage on the plateform after 2015. The current usage metrics is available 48-96 hours after online publication and is updated daily on week days.
Initial download of the metrics may take a while.