Fig. 10

Download original image
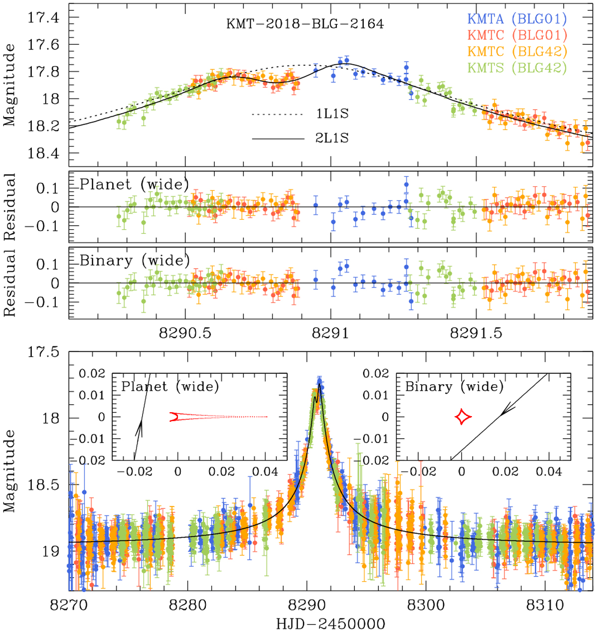
Light curve and model for KMT-2018-BLG-2164. The anomaly is a dip centered at 8290.8. Similar to KMT-2018-BLG-2718, this anomaly is subject to the Han & Gaudi (2008) planet binary degeneracy (see insets), but contrary to that case, the planetary interpretation is not decisively favored (see Table 10). Therefore, the lens companion cannot be claimed as a planet.
Current usage metrics show cumulative count of Article Views (full-text article views including HTML views, PDF and ePub downloads, according to the available data) and Abstracts Views on Vision4Press platform.
Data correspond to usage on the plateform after 2015. The current usage metrics is available 48-96 hours after online publication and is updated daily on week days.
Initial download of the metrics may take a while.