Open Access
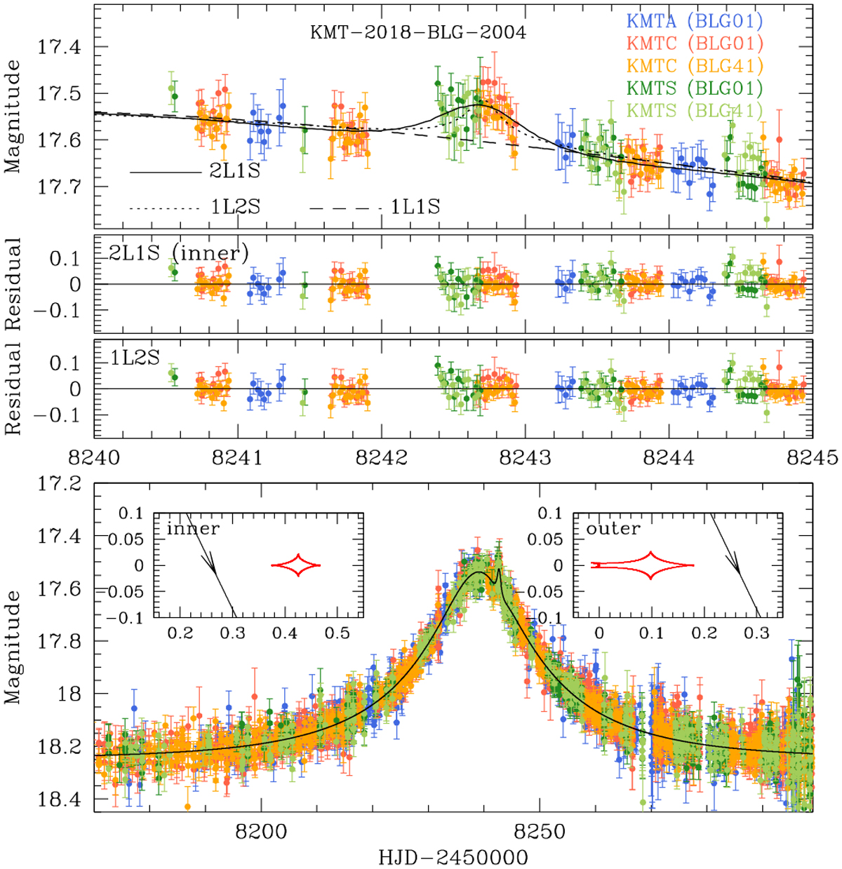
Fig. 2

Download original image
Light curve and model for KMT-2018-BLG-2004. The anomaly is a bump centered at 8242.7. The planetary interpretation is favored over the binary-source model by Δχ2 = χ2(1L2S) − χ2(2L1S) = 14.8. By including V-band data, this becomes Δχ2 = 15.1.
Current usage metrics show cumulative count of Article Views (full-text article views including HTML views, PDF and ePub downloads, according to the available data) and Abstracts Views on Vision4Press platform.
Data correspond to usage on the plateform after 2015. The current usage metrics is available 48-96 hours after online publication and is updated daily on week days.
Initial download of the metrics may take a while.