Open Access
Fig. 6

Download original image
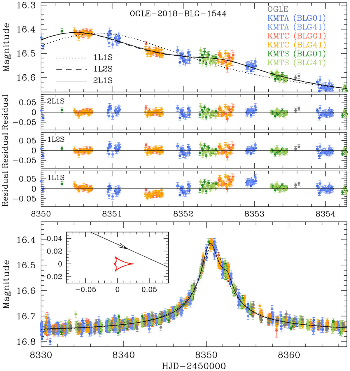
Light curve and model for OGLE-2018-BLG-1544, The anomaly is a long dip near the peak followed by a shorter bump. The heuristic analysis is anchored in the latter, which implies a shallow source trajectory α = 208°. The dip is then understood as the lateral passage of one wall of a central caustic (see inset).
Current usage metrics show cumulative count of Article Views (full-text article views including HTML views, PDF and ePub downloads, according to the available data) and Abstracts Views on Vision4Press platform.
Data correspond to usage on the plateform after 2015. The current usage metrics is available 48-96 hours after online publication and is updated daily on week days.
Initial download of the metrics may take a while.