Fig. 12.

Download original image
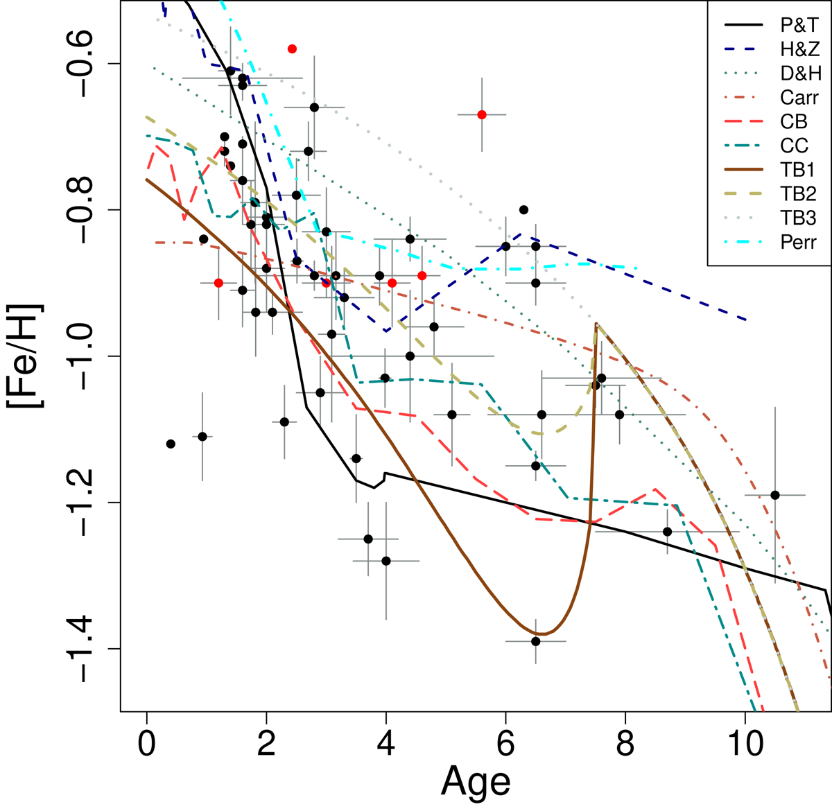
Age-metallicity relation for the full cluster sample. Different AMR models are included. The clusters studied in this work and those taken from the literature are represented with red and black circles, respectively. References for the AMR models: P&T: Pagel & Tautvaisiene (1998), H&Z: Harris & Zaritsky (2004), D&H: Da Costa & Hatzidimitriou (1998), Carr: Carrera et al. (2008), CB and CC: Cignoni et al. (2013), T&B1, T&B2 and T&B3: Tsujimoto & Bekki (2009), Perr: Perren et al. (2017).
Current usage metrics show cumulative count of Article Views (full-text article views including HTML views, PDF and ePub downloads, according to the available data) and Abstracts Views on Vision4Press platform.
Data correspond to usage on the plateform after 2015. The current usage metrics is available 48-96 hours after online publication and is updated daily on week days.
Initial download of the metrics may take a while.