Open Access

Fig. 6

image

Download original image

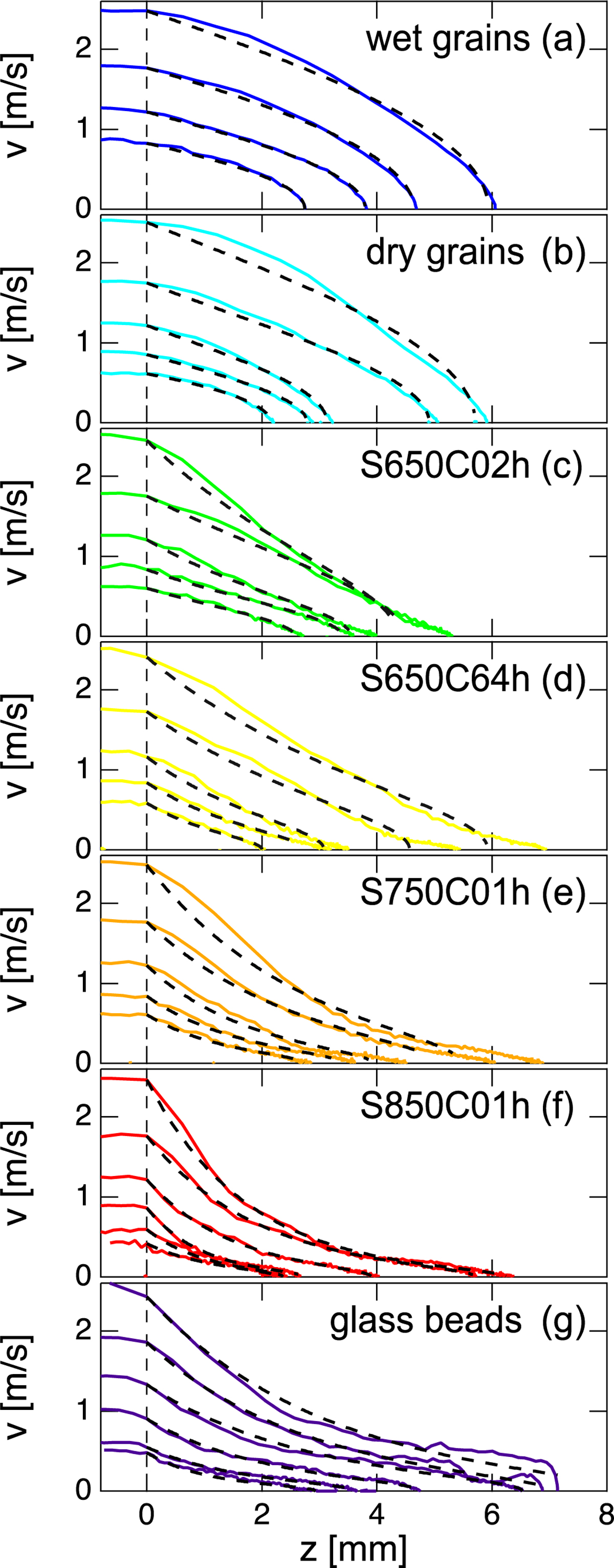
Instantaneous relations between projectile velocity v and penetration depth z. The solid colored curves indicate the experimental results. The dashed black curves are the fitting by Eq. (2). Although the qualitative behavior of v(z) curves depends on the experimental conditions, all the experimental data can be fitted by the model.

Current usage metrics show cumulative count of Article Views (full-text article views including HTML views, PDF and ePub downloads, according to the available data) and Abstracts Views on Vision4Press platform.

Data correspond to usage on the plateform after 2015. The current usage metrics is available 48-96 hours after online publication and is updated daily on week days.

Initial download of the metrics may take a while.