Open Access
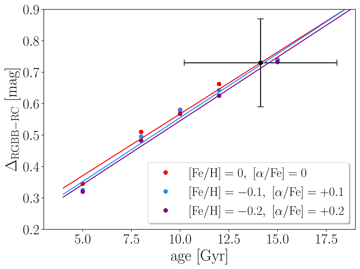
Fig. 17.

Download original image
Distance between the RGB bump and the RC in the i band as a function of age for MIST isochrones of different metallicities and alpha abundances. The lines are linear fits to the theoretical points. The black dot, with its uncertainties, corresponds to the value obtained in this work for stars in Baade’s Window.
Current usage metrics show cumulative count of Article Views (full-text article views including HTML views, PDF and ePub downloads, according to the available data) and Abstracts Views on Vision4Press platform.
Data correspond to usage on the plateform after 2015. The current usage metrics is available 48-96 hours after online publication and is updated daily on week days.
Initial download of the metrics may take a while.