Open Access
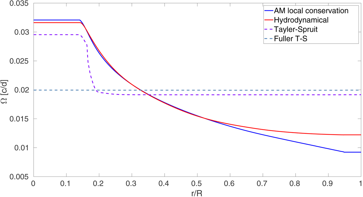
Fig. 3.

Download original image
Profiles of rotation as a function of the normalised radius for the different Geneva models of HD 129929. The different mechanisms of AM transport included in each model are indicated in the legend. Dotted lines distinguish the cases that include magnetic instabilities.
Current usage metrics show cumulative count of Article Views (full-text article views including HTML views, PDF and ePub downloads, according to the available data) and Abstracts Views on Vision4Press platform.
Data correspond to usage on the plateform after 2015. The current usage metrics is available 48-96 hours after online publication and is updated daily on week days.
Initial download of the metrics may take a while.