Open Access

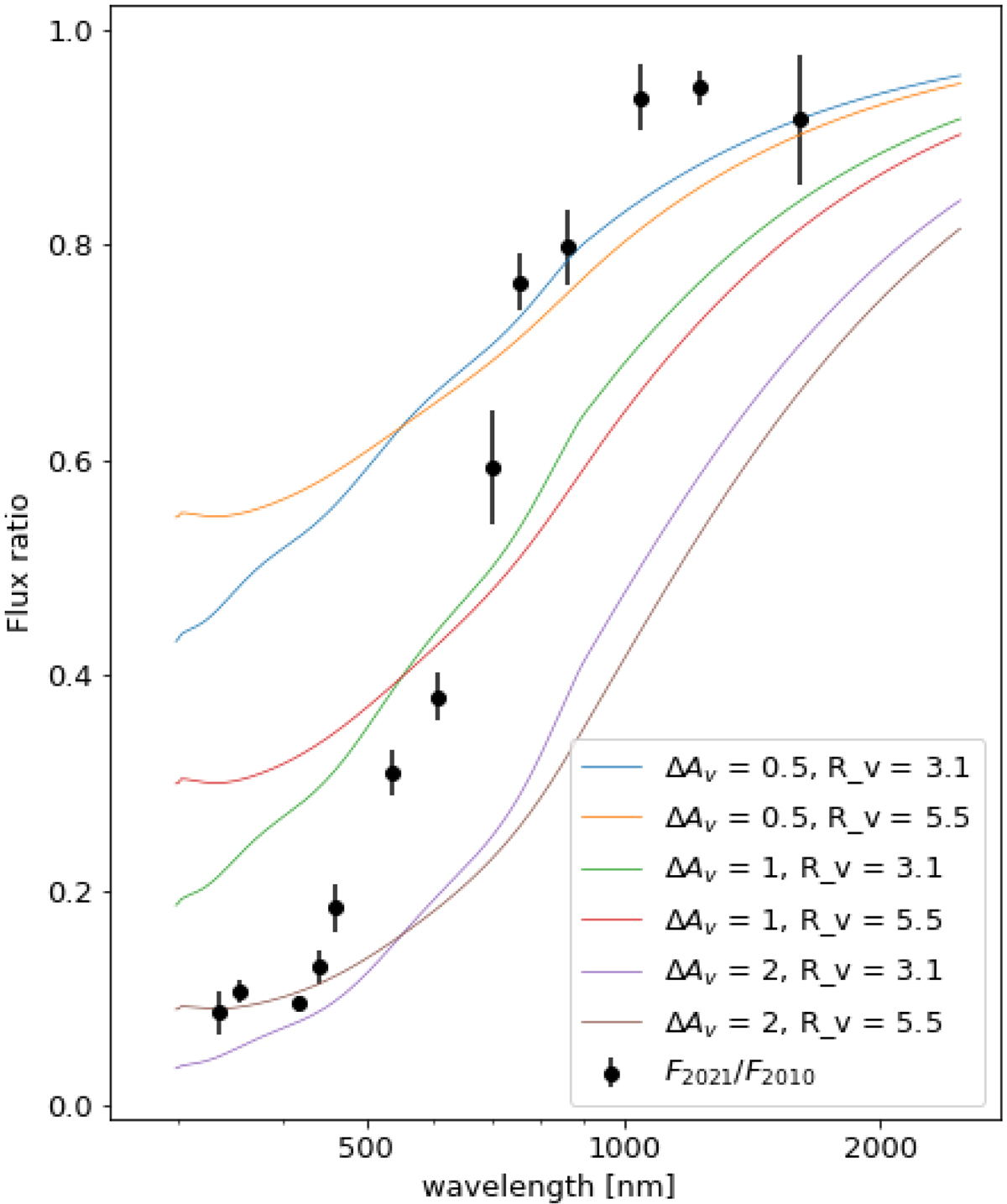
Fig. A.4.

image

Download original image

Comparison of the flux ratio of the observed spectra with the ratio expected from a difference in reddening ΔAV applied to the two spectra. The black points indicate the average ratio of the observed spectra in wavelength windows of 4nm. The colored lines indicate the expected ratio from the Cardelli reddening law (Cardelli et al. 1989).

Current usage metrics show cumulative count of Article Views (full-text article views including HTML views, PDF and ePub downloads, according to the available data) and Abstracts Views on Vision4Press platform.

Data correspond to usage on the plateform after 2015. The current usage metrics is available 48-96 hours after online publication and is updated daily on week days.

Initial download of the metrics may take a while.