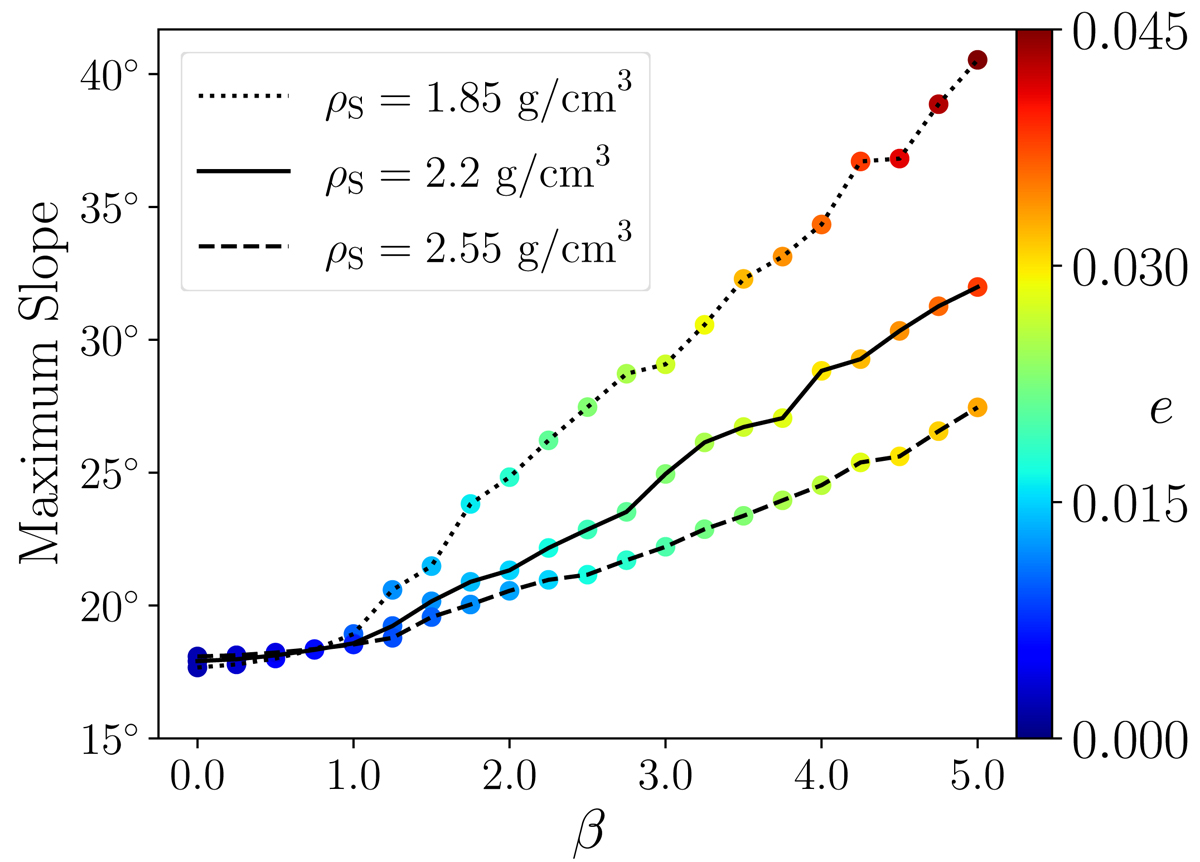
Fig. 4.

Download original image
Maximum slope as a function of β and ρS. The slope over a given simulation increases with β due to the spin and orbit of Dimorphos being more excited. Lower densities achieve higher slopes due to the higher orbital eccentricity for a given β, in addition to a weaker self-gravity in relation to the tidal and rotational accelerations.
Current usage metrics show cumulative count of Article Views (full-text article views including HTML views, PDF and ePub downloads, according to the available data) and Abstracts Views on Vision4Press platform.
Data correspond to usage on the plateform after 2015. The current usage metrics is available 48-96 hours after online publication and is updated daily on week days.
Initial download of the metrics may take a while.