Fig. 2

Download original image
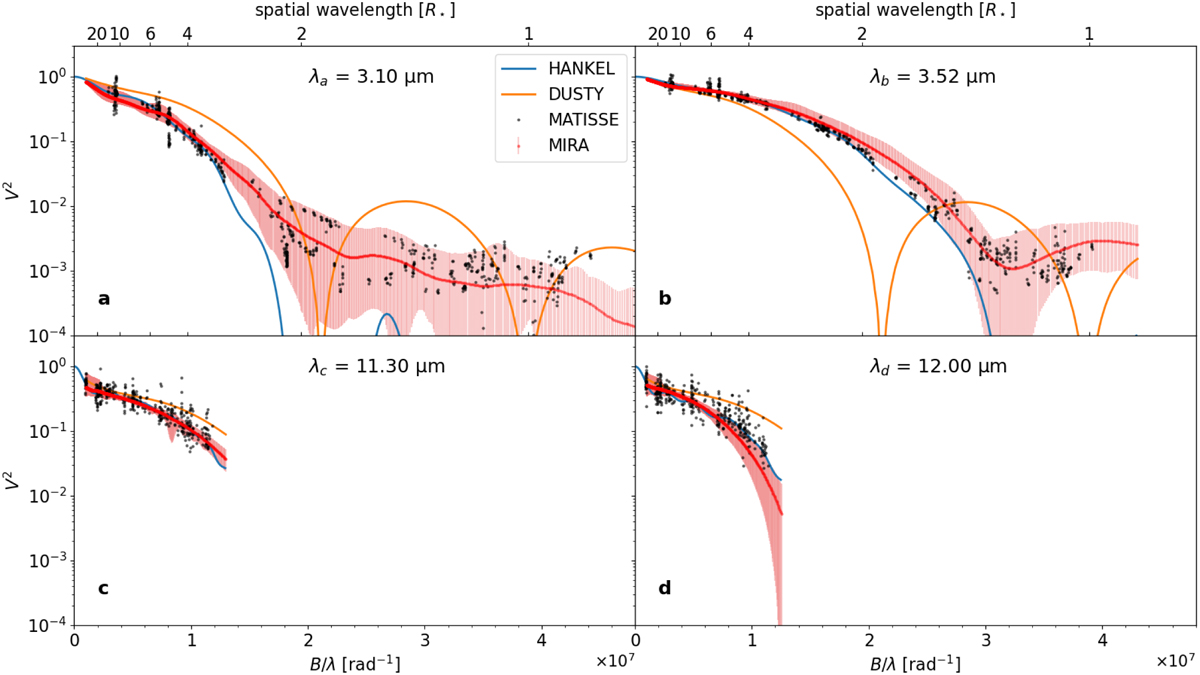
Plot of the MATISSE squared calibrated visibilities (grey dots) at 3.10 µm around the C2H2+HCN absorption feature (panel a), 3.52 µm in the L-band pseudo-continuum (panel b), 11.30 µm around the SiC feature (panel c), and 12.00 µm in the N-band pseudo-continuum (panel d). We over-plotted the data with several models: Hankel profile (blue), DUSTY model (orange), and MIRA mean 1D radial profile (red) and its dispersion (solid red interval).
Current usage metrics show cumulative count of Article Views (full-text article views including HTML views, PDF and ePub downloads, according to the available data) and Abstracts Views on Vision4Press platform.
Data correspond to usage on the plateform after 2015. The current usage metrics is available 48-96 hours after online publication and is updated daily on week days.
Initial download of the metrics may take a while.