Fig. 13

Download original image
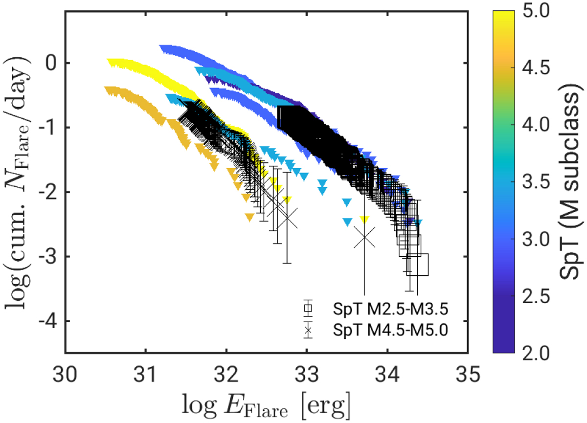
FFDs of stars with reliable Prot without the five stars with PM companions or a maximum contamination in all TESS sectors >10%. Black square and cross symbols represent the average FFDs for the earlier and later M SpT subclass. Error bars for these average FFDs result from Eq. (4). Since the stars considered in the SpT-averaged FFD have a range of completeness limits, Emin,th, for each of the two distributions the fits have been limited to flares with energy above the highest value of the Emin,th of all stars in the respective sample.
Current usage metrics show cumulative count of Article Views (full-text article views including HTML views, PDF and ePub downloads, according to the available data) and Abstracts Views on Vision4Press platform.
Data correspond to usage on the plateform after 2015. The current usage metrics is available 48-96 hours after online publication and is updated daily on week days.
Initial download of the metrics may take a while.