Fig. 2

Download original image
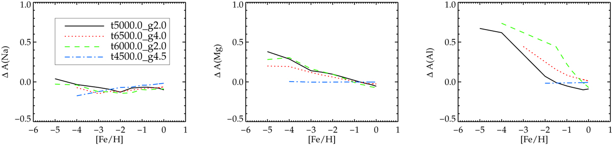
Average NLTE effect for optical unsaturated lines (3000–10 000 Å and Wλ,red < 3 × 10−5) as a function of metallicity. Four different stellar types are shown with stellar parameters as indicated by the legend. Only those data points that have <0.1 dex standard deviation among the spectral lines used to form the mean are retained.
Current usage metrics show cumulative count of Article Views (full-text article views including HTML views, PDF and ePub downloads, according to the available data) and Abstracts Views on Vision4Press platform.
Data correspond to usage on the plateform after 2015. The current usage metrics is available 48-96 hours after online publication and is updated daily on week days.
Initial download of the metrics may take a while.