Open Access

Fig. 11

image

Download original image

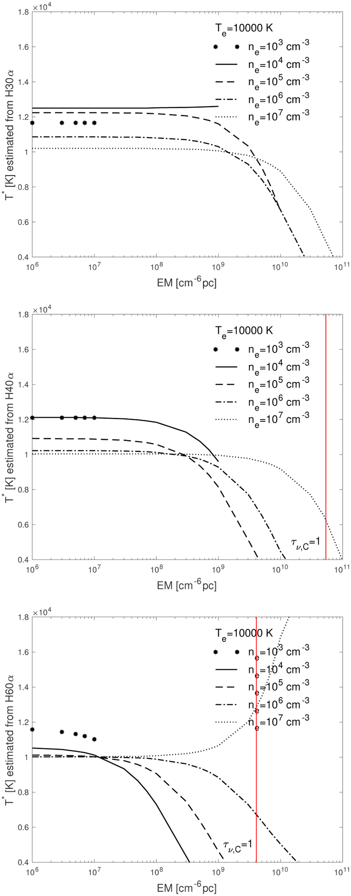
LTE temperature estimated from H30α, H40α, and H60α lines with the continuum emission vs. EM for Te = 10 000 K and different ne. The red vertical lines indicate the value of EM corresponding to the continuum optical depth τv,C = 1.

Current usage metrics show cumulative count of Article Views (full-text article views including HTML views, PDF and ePub downloads, according to the available data) and Abstracts Views on Vision4Press platform.

Data correspond to usage on the plateform after 2015. The current usage metrics is available 48-96 hours after online publication and is updated daily on week days.

Initial download of the metrics may take a while.