Open Access

Fig. 7

image

Download original image

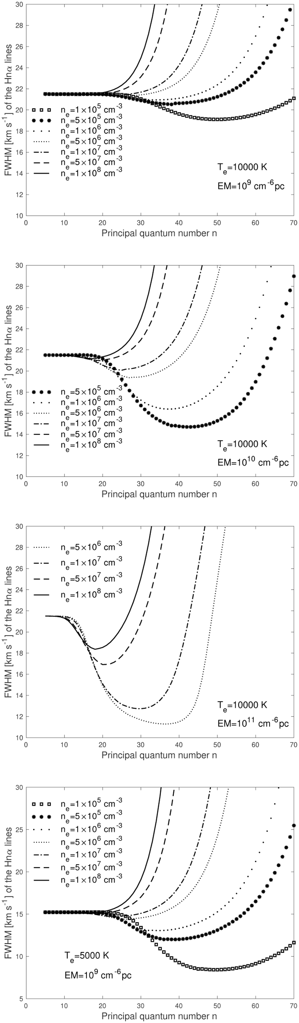
Variations in the Hnα line widths with principal quantum number n. The FWHMs presented in the top three panels are calculated with Te = 10 000 K, and the FWHM in the bottom panel is calculated with Te = 5000 K. The values of the EMs are the same as in the calculation results shown in the same panel, while the values of the corresponding LOS depth D are different since the values of ne are different.

Current usage metrics show cumulative count of Article Views (full-text article views including HTML views, PDF and ePub downloads, according to the available data) and Abstracts Views on Vision4Press platform.

Data correspond to usage on the plateform after 2015. The current usage metrics is available 48-96 hours after online publication and is updated daily on week days.

Initial download of the metrics may take a while.