Fig. 7.

Download original image
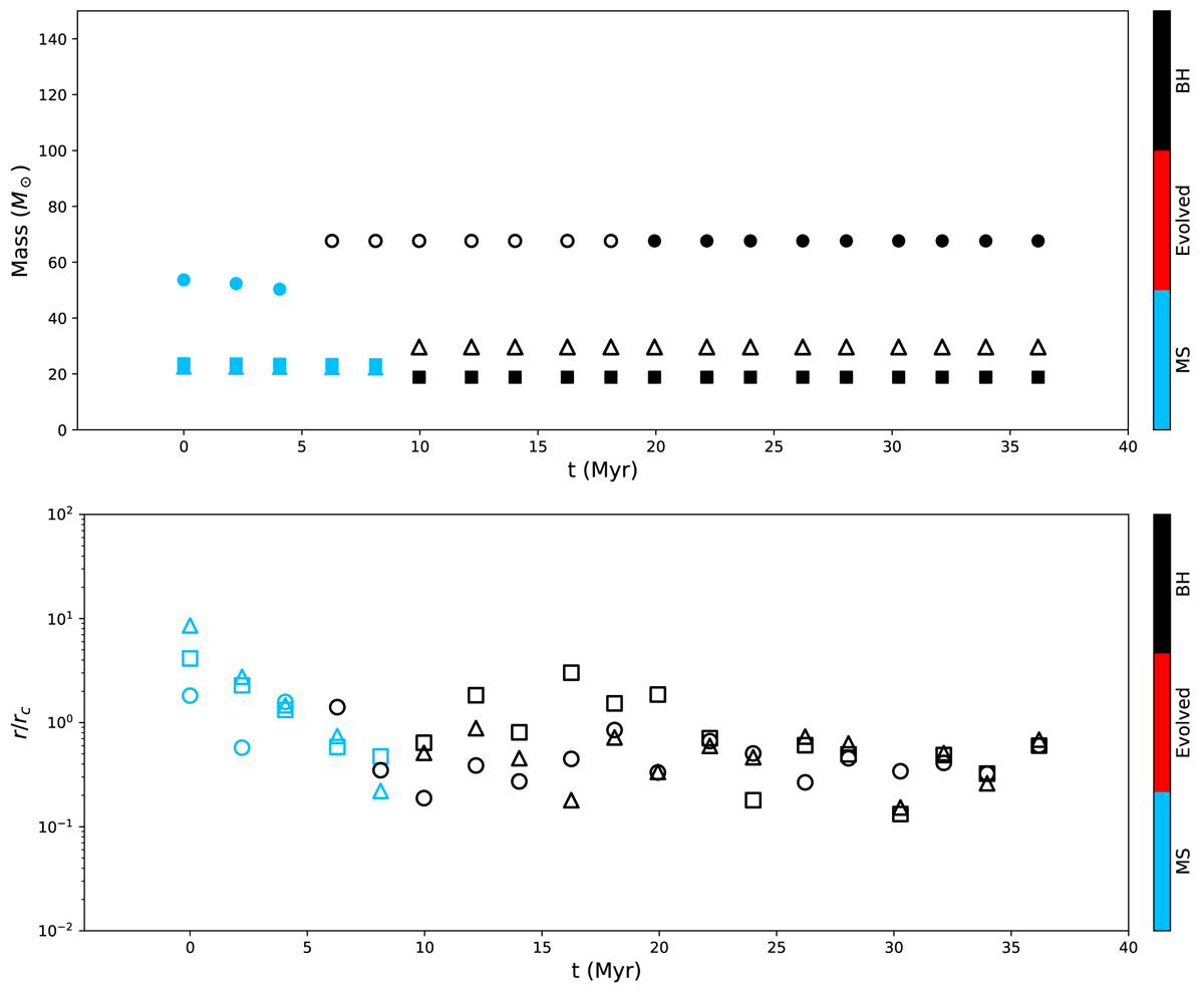
Timeline of a GW190403-like merger event that occurred inside one of the computed cluster models with W0 = 9, Z = 0.005. The meanings of the symbols are the same as in Fig. 5. Here, early in the cluster evolution, the merger primary BH was born in a primordial binary and gained mass via BH-TZO accretion from its stellar companion. The merger secondary BH was born in a symbiotic binary. This is how both of the merging BHs started maximally spinning (a1 = a2 = 1), given the present scheme of assigning BH spins (Sect. 2). As in the example of Fig. 5, the BBH merger happens due to the dynamical pairing of the merging BHs and, thereafter, a triple interaction involving a third perturber BH. In this case, both interactions happened only a few million years before the merger (lower panel). All other GW190403-type mergers in the present models are also in-cluster dynamical mergers, involving at least one such ‘spun-up’ BH, except for one which is an ejected merger (see Fig. 3).
Current usage metrics show cumulative count of Article Views (full-text article views including HTML views, PDF and ePub downloads, according to the available data) and Abstracts Views on Vision4Press platform.
Data correspond to usage on the plateform after 2015. The current usage metrics is available 48-96 hours after online publication and is updated daily on week days.
Initial download of the metrics may take a while.