Open Access

Fig. C.5.

image

Download original image

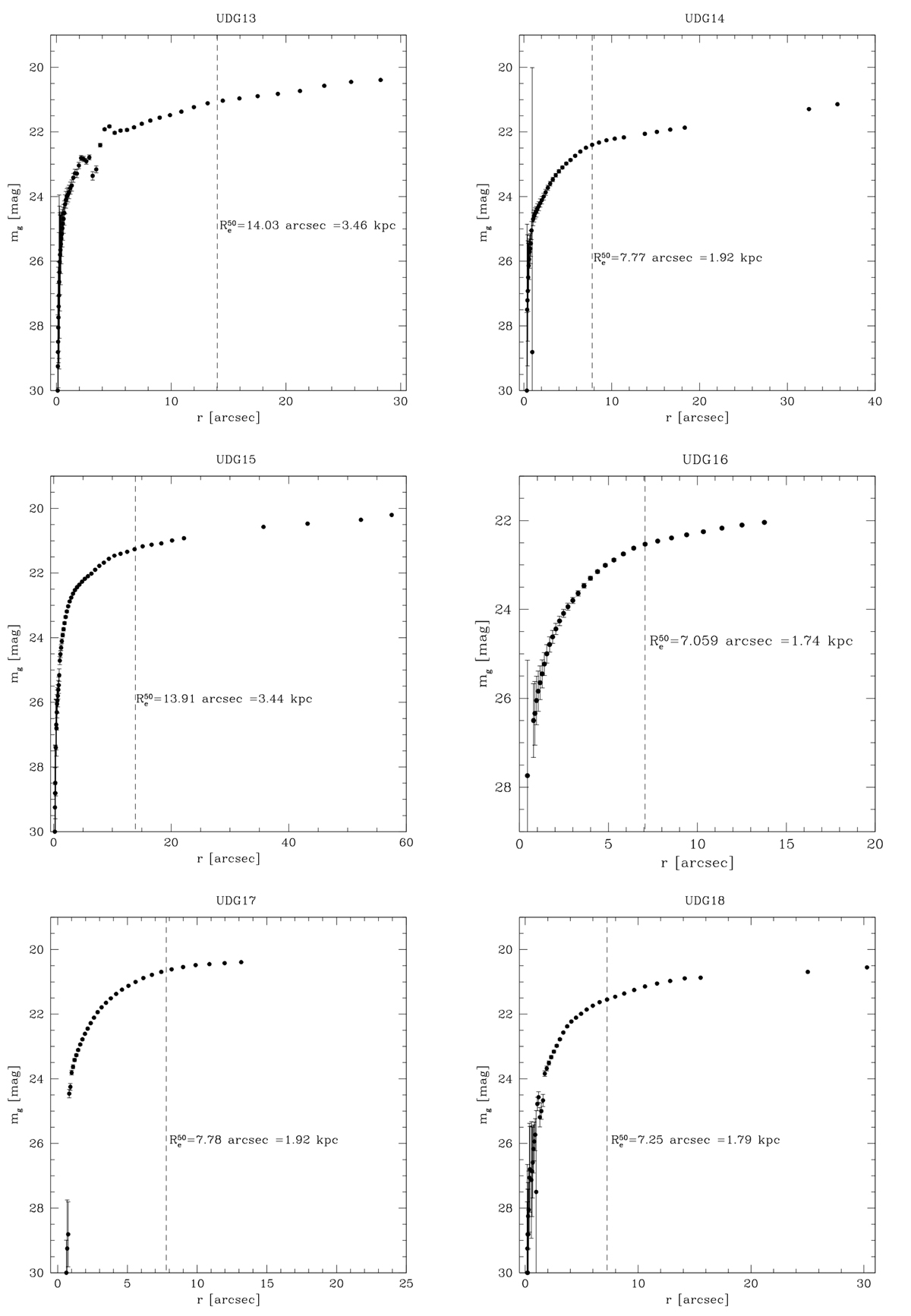
Growth curves for UDG candidates in the g band. Integrated magnitudes are computed from the integrated fluxes given by the isophote fits (see Sec. 3 for details). The vertical dashed line indicates the semi-major half-light radius .

Current usage metrics show cumulative count of Article Views (full-text article views including HTML views, PDF and ePub downloads, according to the available data) and Abstracts Views on Vision4Press platform.

Data correspond to usage on the plateform after 2015. The current usage metrics is available 48-96 hours after online publication and is updated daily on week days.

Initial download of the metrics may take a while.