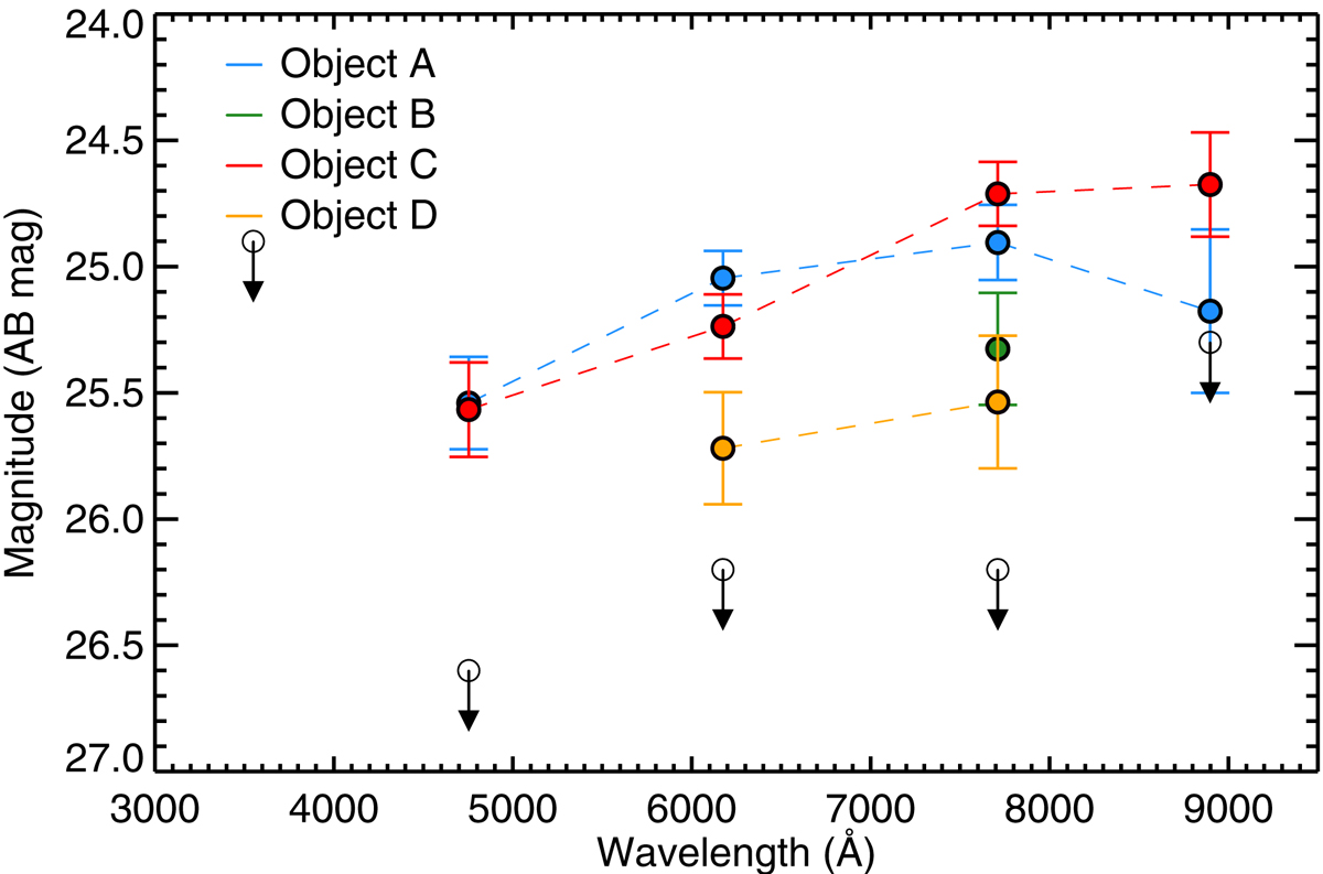
Fig. 2.

Download original image
SEDs of the four objects, A, B, C, and D, from the Magellan IMACS (u′) and HSC/Wide (griz) photometry. Blue, green, red, and yellow symbols are for objects A, B, C, and D, respectively. Circles with black outlines indicate detections with the 1σ magnitude errors, while open circles with arrows indicate the image or survey depths.
Current usage metrics show cumulative count of Article Views (full-text article views including HTML views, PDF and ePub downloads, according to the available data) and Abstracts Views on Vision4Press platform.
Data correspond to usage on the plateform after 2015. The current usage metrics is available 48-96 hours after online publication and is updated daily on week days.
Initial download of the metrics may take a while.