Open Access
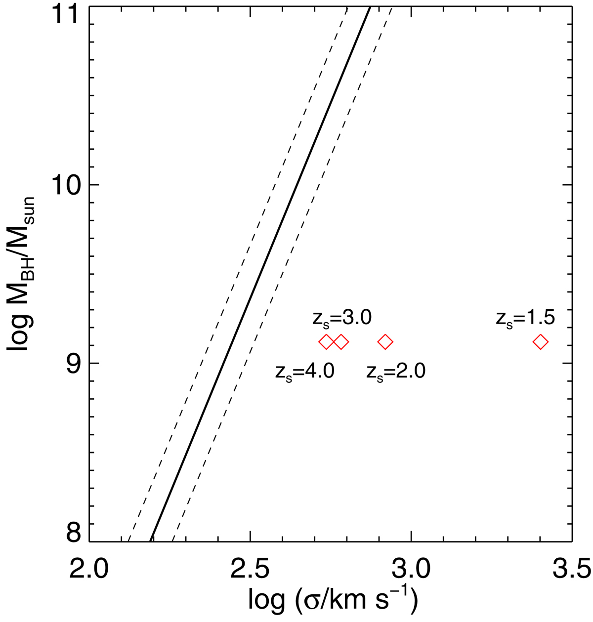
Fig. 4.

Download original image
MBH − σ* diagram. The local relation and its errors from Kormendy & Ho (2013) are shown as black solid and dashed lines, respectively. Red diamonds indicate the positions of SDSS J0002+0239 for four different values of zs.
Current usage metrics show cumulative count of Article Views (full-text article views including HTML views, PDF and ePub downloads, according to the available data) and Abstracts Views on Vision4Press platform.
Data correspond to usage on the plateform after 2015. The current usage metrics is available 48-96 hours after online publication and is updated daily on week days.
Initial download of the metrics may take a while.