Free Access
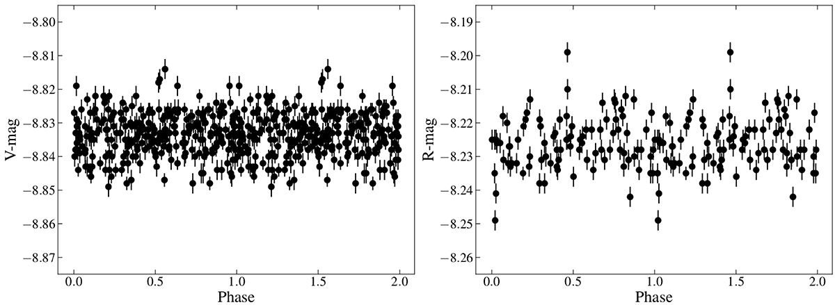
Fig. 12.

Download original image
MACHO V and R photometry spanning MJD 49001.6091 to 51542.5763, folded to the 2.92 d period of the system, illustrating the lack of variability in both bands. The magnitudes are instrumental; zero points and transformations to Kron-Cousins V and R magnitudes can be found in Alcock et al. (1999).
Current usage metrics show cumulative count of Article Views (full-text article views including HTML views, PDF and ePub downloads, according to the available data) and Abstracts Views on Vision4Press platform.
Data correspond to usage on the plateform after 2015. The current usage metrics is available 48-96 hours after online publication and is updated daily on week days.
Initial download of the metrics may take a while.