Fig. 15.

Download original image
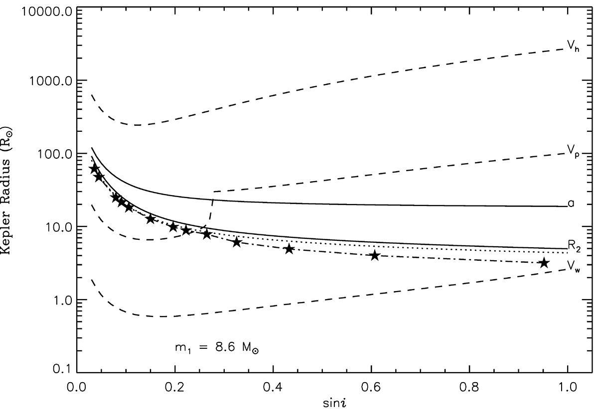
Keplerian radii for characteristic Hα emission line velocities (dashed lines) as discussed in the text and labeled as follows; Vw is the maximum extent of the emission in the FSMS data, Vp is the velocity of that double peaked structure, and Vh is the HWHM of the SALT/HRS emission. The solid curves represent the binary separation (labeled a) and the Roche radius of the unseen secondary (Roche2). The dotted line is the limit imposed by tidal forces, while the dash-dotted line joining stars is the limiting average radius of stable orbits of the outer disk, from Paczynski & Rudak (1980).
Current usage metrics show cumulative count of Article Views (full-text article views including HTML views, PDF and ePub downloads, according to the available data) and Abstracts Views on Vision4Press platform.
Data correspond to usage on the plateform after 2015. The current usage metrics is available 48-96 hours after online publication and is updated daily on week days.
Initial download of the metrics may take a while.