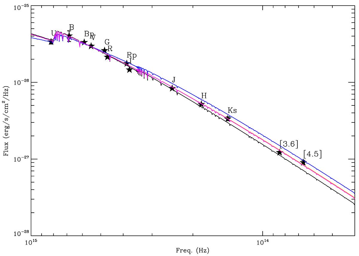
Fig. 16.

Download original image
Comparison of model SEDs (continuous lines) with extinction corrected photometric data (stars with labels, error bars are small and difficult to see on this scale). Models are normalized to the V-band and parameters are adjusted to fit the IR excess as noted in Sect. 4.3. Color coding as follows: black – composite stellar spectrum; magenta – flat Be disk and accretion disk model (both models are essentially identical on this scale); blue – for comparison this illustrates a flat Be disk model if it were circumstellar to the B-type star and truncated at its Roche radius.
Current usage metrics show cumulative count of Article Views (full-text article views including HTML views, PDF and ePub downloads, according to the available data) and Abstracts Views on Vision4Press platform.
Data correspond to usage on the plateform after 2015. The current usage metrics is available 48-96 hours after online publication and is updated daily on week days.
Initial download of the metrics may take a while.